SESHAT EĞİTİMDE VE PSİKOLOJİDE BİYOMETRİK VE BOYLAMSAL ARAŞTIRMALAR
Prof. Dr. Nilüfer Kahraman
Veri Bilimi
Ekonometri II
R ile İst. Programlama
İstatistiğe Giriş
Test Kuramları 2
EÖD.Güz.2024
Longitudinal Modeling
TÜBİTAK1001 PROJESİ - SOBAG 120K142
Uygulamalar.Bahar.24
Seshat AR-GE - Ekip
Açık Kaynaklar
BAP Projesi: METABİYET
Uygulamalar Listesi
GoogleDriveShare
Faydalı Linkler
Daha fazla...
NCME MIRT Study Module - Excerpt
Ackerman, T. A., Gierl, M. J., & Walker, C. M. (2003). Using multidimensional item response theory to evaluate educational and psychological tests. Educational Measurement: Issues and Practice, 22(3), 37-51.
Must haves!...
IRT in SEM notations
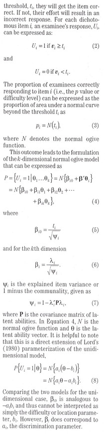
MacDonald, 1980, 1982; Hattie, 1981
Mplus
User's Manual
Ch5 Examples